Applied Statistics - Project
"Youth is imaginative, and if the imagination can be strengthened by
discipline, this energy of imagination can in great measure be preserved
through life. The tragedy of the world is that those who are imaginative
have but slight experience, and those who are experienced have feeble
imagination. Fools act on imagination without knowledge, pedants act on
knowledge without imagination. The task of a university is to weld
together imagination and experience."
[Alfred North Whitehead, English matematician and philosopher, 1861-1947]
Project description:
It is the year 1679, and Robert Hooke is (following a suggestion by Newton)
trying to prove the rotation of Earth by the Coriolis force on falling
bodies.
Your team has an other (better?) idea, namely to measure the
gravitational pull on Earth at different latitudes.
However, to obtain the necessary funding to travel North and South and repeat a
measurement of g near the poles and equator, you have to prove that you can do it
with the necessary precision. The size of the effect is somewhere
around 0.5%, and you want to prove the difference with 5 sigma
certainty, which thus requires sub-per-mille precision.
Your mission - and you have little choice, but to accept it - is to
take up the challenge of making these measurements and proving that at
least one of your two experimental setups has the required/desired
precision.
And both measurements require (correct) error propagation
and as many cross checks as possible.
The purpose, experimental setup, objectives, and evaluation is described here:
Project objectives and evaluation.
The specific and numbered list of
project evalution points.
Here you can find some notes about
Good Experimental And Statistical Practices.
The signing up for project groups (4-5 persons) is done on Absalon under people and then project groups
(drag you name into a group).
If you have any problems or questions, please send a mail to Nina Nathanson, or see us during exercises.
The project groups (Version 3.0, Tuesday the 25th of November) can be found here:
AS2025_ProjectGroups_V3.0.pdf.
The overview of where to show up (and do experiments) can be found here:
AS2025_NBBoverview_ExperimentalLocations.pdf.
Left: Robert Hooke (1655-1705),
Right: The distribution of land and ocean, if Earth's rotation stopped!
Experiments:
The two experiments are classic experiments, and you have almost surely done these before in some form.
However, now the aim is learing how to extract, minimize and propagate uncertainties to get a value (in
fact two values) for the gravitational acceleration, g, which have as small an uncertainty as possible,
but still being consistent with the "true" value (i.e. more precise measurements).
The two experiments are:
Experiment 1: Simple pendulum with a mass at the end
Experiment 2: Ball rolling down an incline (or dropping freely)
    

    
Left: Pendulum experiment with associated formula for g.
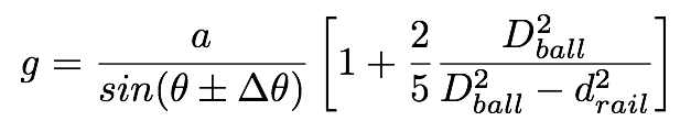
Right: Ball on incline experiment with associated formula for g, where D(ball) = ball diameter and d(rail) = distance between rails.
Introductions to doing the experiments:
In order to save time on the day of the experiments, I've tried to sum
up the essentials of the experiments in two short films:
IntroFilm_PendulumExperiment.mp4 (9:51 min).
IntroFilm_BallOnInclineExperiment.mp4 (12:37 min).
Software used for reading out gates in Ball on Incline experiment:
Instead of using an oscilloscope or LabView, FirstLab is now equipped with hardware devices
(Analog Discovery 2 by Diligent), that allows you to read out the data directly to your
computer (which acts as oscilloscope).
The software that allows your computer to do this is called
Waveforms,
and instructions for the
download and setup are here.
It should be straight forward to install, but if you don't manage, then don't dispair. Just ensure
that the others in your project group managed, as you should share the data within the group.
Example data sets:
The following data sets illustrates what to expect from your experiments, and they are provided
in order to allow you to develop analysis code ahead of actually doing the experiments!
Pendulum:
data_Alice_pendulum14m_25measurements.dat,
data_Bob_pendulum14m_25measurements.dat
Rolling Ball:
data_NormDir_MedBall1.txt,
data_RevDir_MedBall1.txt
For illustrating the period measurement, you may let yourself be inspired by
this figure.
Measurements to make:
Below is a list of measurements to make, all of which should of course have well determined uncertainties.
Make sure that you report all the "raw" measurements you performed (i.e. for each group or group member),
possibly with uncertainty, if one was available. Otherwise, you obtain the uncertainty from the RMS of the
typically four independent (make sure they are!) measurements. Typically, all members of the group
should do the measurements, and try to read lengths off to 1/2 - 1/10 millimeter.
Pendulum length: Measured both with measuring tape and laser.
Pendulum period: Measured over several (e.g. 25+) swings.
Pendulum timing precisions: Accuracy of timing of each team member (i.e. sigma_Troels = 0.078 sec.).
Rolling ball timing and gate positions: Remember, doing (too) many experiments won't decrease the error (why?)!
Rolling ball acceleration: I.e. combining the above with gate times in quadratic fit.
Rolling ball diameter and rail distance: Done with a caliper (DK: skydelaerer).
Rolling ball incline angle: With goniometer (DK: vinkelmaaler) and from trigonometry.
Rolling ball table angle: Measured by turning the experiment 180 degrees and cross checked by goniometer.
Was it consistent with being level?
And finally, you should of course combine your measurements to one
value of g for each setup and compare the value and precision with a reference.
Writing up results:
The project should be written in Physical Review Letter style (or something close to it,
if you don't like Latex) thus not more than 3-4 pages!
You do not need to describe the experiments themselves (assume the
reader is a fellow student, who has also done the experiments), but of
course all measurements, details and results should be described, such
that the reader can follow (i.e. calculate themselves) your results
fully and reproduce what you have done.
You can find an example project (with results blacked out), which is generally good, here:
Project_Group24_BlackedOut.pdf.
Below you can find the files needed (works with pdftex as well, except for the figures,
which needs to be converted into .pdf or .png), or you may use your own favorite article setup:
PRL Latex template.
Test figure.
Result using current template.
For each of the two results, make a table with the sources of uncertainty, that is a list of variables listed/measured
with their value, their uncertainty, and their impact on g (i.e. if they were the only uncertainty on g, how large would
the uncertainty on g then be), so that one can compare source of error.
The group should submit the project on Absalon by Saturday the 13th of December, 22:00.
I would be happy, if you would give the file the logical name
"Project_GroupX_Name1Name2Name3Name4Name5.pdf",
where NameX is the first name of the group members.
Notes:
For measuring time to (better than) 1/100 of a second with lap time
and the option of saving the result to a file on your computer, please
use the following Python stop watch script:
stopwatch_py3.py.
Many before you have struggled with precision measurements. In defining the meter, one of the two protagonists,
Jean Baptiste Delembre is trying
to make his measurement as accurate as possible.
These 22 lines describe the delicacy of doing it well:
Striving for precision, from "The Measure of All Things".
Comments:
Enjoy, have fun, and throw yourself boldly at the experiments and data.
Last updated: 20th of November 2025.